Vamos a tratar de explicar de una manera sencilla y gráfica qué es el número áureo y la serie de Fibonacci, cómo se calculan y cómo aparecen en la naturaleza.
Obtención del número áureo o divina proporción
El número áureo es la proporción entre los lados de un rectángulo que se construye a partir de un cuadrado.
El rectángulo áureo tiene unas proporciones fijas que corresponden al número Phi=1,618… número real de infinitas cifras decimales sin periodicidad.
- Construimos un cuadrado y trazamos una línea desde la mitad de la base a un vértice.

- Abatimos dicha línea trazando un arco. Con esa medida hacemos un rectángulo.
- Ya tenemos un rectángulo áureo.

Cálculo del número áureo
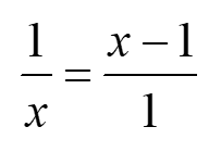
- Vamos a suponer que el lado del cuadrado mide un metro. Si la base del rectángulo es «x», obtenemos la siguiente proporción:

- Los dos lados del rectángulo exterior guardan proporción con el rectángulo más pequeño. Con esta proporción y resolviendo la ecuación resulta el número áureo.

La proporción entre el lado mayor y el menor [x/1] del rectángulo es el número áureo= phi=φ= 1,618…..

- Si sucesivamente seguimos haciendo rectángulos con este proceso siguen manteniendo la proporción.
- Si hacemos un gran número de rectángulos cada vez más pequeños, llegamos a que las medidas del cuadrado y del rectángulo tienden a igualarse entonces les suponemos el valor de una unidad y aparece una relación entre las medidas de los rectángulos y el crecimiento de la serie de Fibonacci como apreciamos en la figura siguiente. 1, 1, 2, 3, 5, 8, 13, 21, 35, 56,…..
Este rectángulo forma parte de nuestra vida diaria como por ejemplo las proporciones de la pantalla del ordenador, las medidas de DNI o tarjetas de crédito, en obras de arte, en las proporciones del cuerpo humano.. etc.
Está demostrado que visualmente es más agradable a la vista.
Espiral de Arquímedes y su relación con el número áureo
Si trazamos arcos de circunferencia con la medida del radio igual al lado de cada cuadrado, obtenemos la curva siguiente:
Esta espiral la encontramos en la naturaleza por ejemplo en el romanesco, en las semillas de girasol, en las piñas….
Observamos que el número de espirales que se forman a derecha y a izquierda son números correlativos de la serie de Fibonacci. Si a izquierda en rojo hay 21 entonces a la derecha en azul hay 34, y 34/21=1,618…

Serie Fibonacci en las plantas
En el año 1202 Fibonacci descubre una serie de números que aparecen en la naturaleza.
La serie es: » 1, 1, 2, 3, 5, 8, 13, 21, 34, 55, 89…..» Si observamos cada número es la suma de los dos anteriores, por tanto el número siguiente de la serie sería 144.
Si dividimos cada número entre el anterior obtenemos que tiende al número áureo:

Esta serie aparece en la reproducción de los conejos y de las vacas pero nos centramos en el crecimiento de las plantas.
Valor del ángulo áureo
Ya observamos en un artículo que la flor de la alcachofa sigue una proporción áurea de tal forma que dos hojas nunca se superponen y así todas reciben la luz solar.

Esto es debido a que crecen con un ángulo áureo que se obtiene formando un círculo con:
- Medida del lado mayor más el menor del rectángulo.
- Medimos el arco correspondiente al lado menor.
- Obtenemos que dicho arco corresponde al ángulo de 137,5º.
La serie de Fibonacci también lleva al ángulo áureo.
La proporción de cada cociente de la serie de 360 grados =ángulo áureo=137,5 grados, con más exactitud cuanto más se avanza en la serie.

Es decir:
Este ángulo y por tanto los números de Fibonacci y el número áureo están relacionados.
Podemos observar como la aparición de las ramas de un árbol visto desde arriba tienen aproximadamente este ángulo dos ramas consecutivas.

Además se cumple en:

- La distribución de las hojas en la planta.
- La distribución de las ramas en el árbol.
- La proporción entre las ramas principales y las secundarias.
En algunas flores y frutos se observan de una manera muy significativa como en:
- Las piñas de los abetos.
- La piña tropical.
- Las palmeras.
- La flor de la alcachofa.
- El romanesco.
- El girasol.
- La margarita.
- La coliflor.
- La cica.
- La rosa.
- Las espinas del tallo de las rosas.
- Otras muchas.

Todas las simetrías de una forma o de otra crecen en la proporción áurea, en ángulo o número de Fibonacci.
Ángulo áureo del crecimiento de la flor de la rosa
En el caso de la rosa medimos los ángulos de los pétalos consecutivos que observamos de mayor a menor.
Nunca vamos a encontrar dos pétalos superpuestos, por la propiedad de crecer con este ángulo de 137,5 grados como vemos entre el punto «a» y el «b», entre el «b» y el «c» y así sucesivamente.
Este ángulo hace que por muchos pétalos que crezcan no van a coincidir dos en la misma dirección.
No todas las plantas crecen con este orden, siempre existen alteraciones pero está probado que en donde está la simetría y la belleza está el número áureo.

Cómo se produce esta relación entre el número áureo y las plantas
Todo esto, ¿cómo ocurre?.
Todos hemos observado la armonía de ciertas plantas, la simetría de algunos frutos y la belleza de las flores.
Esta disposición no es casual, sigue un orden llamado filotaxis de la composición de dos palabras «filo=hoja» y «taxis=orden».
Los responsables de este orden son los «meristemos», formados por células madre con forma poliédrica que se reproducen constantemente con el proceso llamado mitosis y que consta de seis fases.
Esta reproducción en general es de forma espiral. La curvatura coincide con la de Arquímedes. Es decir el ángulo de giro es el áureo y en cada giro aparece una nueva célula.

En su crecimiento y en su multiplicación influye el agua que entra en sus vacuolas, parte importante de la célula donde se almacena junto con las sales y los azúcares.

Es por esta razón que el control del agua es fundamental para el buen desarrollo de la planta. Si la planta sufre estrés hídrico esta reproducción se altera.
Estos meristemos pueden ser permanentes como los de las ramas o temporales como por ejemplo los que dan lugar a las flores.
Estas células son como el código de información, constituyendo el ADN de las plantas. Estas cadenas siguen espirales con giros áureos y en su interior están las bases nitrogenadas con estructuras pentagonales que también tienen el ángulo áureo en sus medidas.

La diagonal del pentágono dividido por el lado es el número áureo.
Cada hoja, pétalo o rama que generan las células en su reproducción aparecerá ordenada favoreciendo un equilibrio natural que hace que dos hojas no se superpongan, dos ramas tampoco y dos pétalos tampoco.
Influencia del número áureo en el desarrollo de las plantas
Esto influye en:
- La escorrentía del agua de lluvia sobre las plantas de manera que llegue mejor a las raíces.
- También en que todas las hojas puedan recibir mejor la luz solar.
- Se favorece la polinización con esta espectacular distribución.
Es decir la estructura áurea hace que la planta crezca en armonía, solamente tenemos que proporcionarle agua de forma constante y controlada así como temperatura y nutrientes adecuados para que no se altere su regeneración, entonces su desarrollo y su belleza rondarán la perfección.
Poesía de Rafael Alberti, escrita en 1946 al número áureo considerado como la Divina proporción
“A LA DIVINA PROPORCIÓN”
A ti, maravillosa disciplina,
media, extrema razón de la hermosura,
que claramente acata la clausura
viva en la malla de tu ley divina.
A ti, cárcel feliz de la retina,
áurea sección, celeste cuadratura,
misteriosa fontana de mesura
que el Universo armónico origina.
A ti, mar de los sueños angulares,
flor de las cinco formas regulares,
dodecaedro azul, arco sonoro.
Luces por alas un compás ardiente.
Tu canto es una esfera transparente.
A ti, divina proporción de oro.
Fuentes